2015 Değerlendirme oranı belli oldu
Yapı, Tesis ve Onarım İşleri İhalelerinde Kullanılan Müteahhitlik Karneleri ve İş Bitirme Belgelerinin 2015 Yılına Ait Değerlendirme Katsayıları Hakkında Tebliğ, bugünkü Resmi Gazete’de yayımlanarak yürürlüğe girdi. İşte 2015 Değerlendirme Katsayıları…
Çevre ve Şehircilik Bakanlığı’nın Yapı, Tesis ve Onarım İşleri İhalelerinde Kullanılan Müteahhitlik Karneleri ve İş Bitirme Belgelerinin 2015 Yılına Ait Değerlendirme Katsayıları Hakkında Tebliğ’i bugün (19 Mart 2015, Perşembe) tarih ve 29300 sayılı Resmi Gazete’de yayımlanarak yürürlüğe girdi. İşte 2015 yılına ait değerlendirme katsayıları…
Çevre ve Şehircilik Bakanlığından:
YAPI, TESİS VE ONARIM İŞLERİ İHALELERİNDE KULLANILAN
MÜTEAHHİTLİK KARNELERİ VE İŞ BİTİRME BELGELERİNİN 2015 YILINA
AİT DEĞERLENDİRME KATSAYILARI HAKKINDA TEBLİĞ
(1) 28/3/1981 tarihli ve 17293 sayılı Resmî Gazete’de yayımlanan “Yapı, Tesis ve Onarım İşleri İhalelerine Katılma Yönetmeliği” uyarınca, ihalelere iştirak edecek olan müteahhitlerin, ellerinde bulunan ve geçerliliği sona ermemiş müteahhitlik karneleri, ilgili kuruluşlarca, aşağıda belirtildiği şekilde ve grubu aynı kalmak şartıyla aktarılarak kabul edilir.
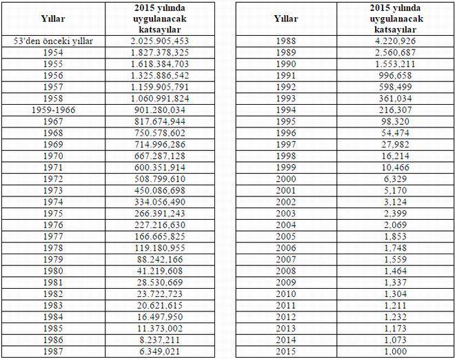
(2) 1/1/2015 tarihinden itibaren, müteahhitlik karneleri ve iş bitirme belgeleri için geçerli katsayılar aşağıda belirtilmiştir.
A) Tespit olunan bu katsayılar 1/1/2016 tarihine kadar uygulanır.
B) 1/3/1981-28/2/1982 arasındaki tarihleri taşıyan (bu tarihler dahil) ve geçerliliğini muhafaza eden müteahhitlik karneleri miktarı, grubu aynı kalmak şartıyla; 28.530,669 ile çarpılır.
C) 1/3/1982-31/12/1982 arasındaki tarihleri taşıyan (bu tarihler dahil) müteahhitlik karneleri miktarı, grubu aynı kalmak şartıyla; 23.722,723 ile çarpılır.
D) Kuruluşlarca iş bitirme belgelerinin ve müteahhitlik karnelerinin değerlendirilebilmesi için 1/1/2015 tarihinden itibaren geçerli olmak üzere aşağıda tespit olunan katsayılar uygulanır.

(3) Aşağıdaki tebliğler yürürlükten kaldırılmıştır.
a) 12/2/2004 tarihli ve 25371 sayılı Resmî Gazete’de yayımlanan Yapı, Tesis ve Onarım İşleri İhalelerinde Kullanılan Müteahhitlik Karneleri ve İş Bitirme Belgelerinin 2004 Yılına Ait Değerlendirme Katsayıları Hakkında Tebliğ,
b) 12/2/2005 tarihli ve 25725 sayılı Resmî Gazete’de yayımlanan Yapı, Tesis ve Onarım İşleri İhalelerinde Kullanılan Müteahhitlik Karneleri ve İş Bitirme Belgelerinin 2005 Yılına Ait Değerlendirme Katsayıları Hakkında Tebliğ,
c) 12/3/2006 tarihli ve 26106 sayılı Resmî Gazete’de yayımlanan Yapı, Tesis ve Onarım İşleri İhalelerinde Kullanılan Müteahhitlik Karneleri ve İş Bitirme Belgelerinin 2006 Yılına Ait Değerlendirme Katsayıları Hakkında Tebliğ,
ç) 10/3/2007 tarihli ve 26458 sayılı Resmî Gazete’de yayımlanan Yapı, Tesis ve Onarım İşleri İhalelerinde Kullanılan Müteahhitlik Karneleri ve İş Bitirme Belgelerinin 2007 Yılına Ait Değerlendirme Katsayıları Hakkında Tebliğ,
d) 19/2/2008 tarihli ve 26792 sayılı Resmî Gazete’de yayımlanan Yapı, Tesis ve Onarım İşleri İhalelerinde Kullanılan Müteahhitlik Karneleri ve İş Bitirme Belgelerinin 2008 Yılına Ait Değerlendirme Katsayıları Hakkında Tebliğ,
e) 27/2/2009 tarihli ve 27154 sayılı Resmî Gazete’de yayımlanan Yapı, Tesis ve Onarım İşleri İhalelerinde Kullanılan Müteahhitlik Karneleri ve İş Bitirme Belgelerinin 2009 Yılına Ait Değerlendirme Katsayıları Hakkında Tebliğ,
f) 1/4/2010 tarihli ve 27539 sayılı Resmî Gazete’de yayımlanan Yapı, Tesis ve Onarım İşleri İhalelerinde Kullanılan Müteahhitlik Karneleri ve İş Bitirme Belgelerinin 2010 Yılına Ait Değerlendirme Katsayıları Hakkında Tebliğ,
g) 28/4/2011 tarihli ve 27918 sayılı Resmî Gazete’de yayımlanan Yapı, Tesis ve Onarım İşleri İhalelerinde Kullanılan Müteahhitlik Karneleri ve İş Bitirme Belgelerinin 2011 Yılına Ait Değerlendirme Katsayıları Hakkında Tebliğ,
ğ) 28/4/2012 tarihli ve 28277 sayılı Resmî Gazete’de yayımlanan Yapı, Tesis ve Onarım İşleri İhalelerinde Kullanılan Müteahhitlik Karneleri ve İş Bitirme Belgelerinin 2012 Yılına Ait Değerlendirme Katsayıları Hakkında Tebliğ,
h) 24/4/2013 tarihli ve 28627 sayılı Resmî Gazete’de yayımlanan Yapı, Tesis ve Onarım İşleri İhalelerinde Kullanılan Müteahhitlik Karneleri ve İş Bitirme Belgelerinin 2013 Yılına Ait Değerlendirme Katsayıları Hakkında Tebliğ,
ı) 6/5/2014 tarihli ve 28992 sayılı Resmî Gazete’de yayımlanan Yapı, Tesis ve Onarım İşleri İhalelerinde Kullanılan Müteahhitlik Karneleri ve İş Bitirme Belgelerinin 2014 Yılına Ait Değerlendirme Katsayıları Hakkında Tebliğ.
Tebliğ olunur.



