Antalya Finike Sahilkent kentsel dönüşüm alanı belli oldu
Antalya İli, Finike İlçesinde Bulunan Bazı Alanların Kentsel Dönüşüm ve Gelişim Proje Alanı İlan Edilmesi Hakkında Karar, bugünkü Resmi Gazete’de yayımlanarak yürürlüğe girdi. İşte o karar ve Finike Sahilkent kentsel dönüşüm alanları…
Antalya İli, Finike İlçesinde Bulunan Bazı Alanların Kentsel Dönüşüm ve Gelişim Proje Alanı İlan Edilmesi Hakkında Bakanlar Kurulu’nun 2016/9250 numaralı kararı, bugünkü Resmi Gazete’de yayımlanarak yürürlüğe girdi. Karar ile Finike Sahilkent Mahallesi’nde kentsel dönüşüm uygulanacak alanlar belli oldu. İşte Antalya Finike, Sahilkent’te kentsel dönüşüm uygulanacak alanlar…
Antalya Finike Sahilkent mahallesi kentsel dönüşüm alanı belli oldu
Antalya İli, Finike İlçesinde Bulunan Bazı Alanların Kentsel Dönüşüm ve Gelişim Proje Alanı İlan Edilmesi Hakkında Karar, bugünkü Resmi Gazete’de yayımlanarak yürürlüğe girdi.
Antalya İli, Finike İlçesinde Bulunan Bazı Alanların Kentsel Dönüşüm ve Gelişim Proje Alanı İlan Edilmesi Hakkında Bakanlar Kurulu’nun 2016/9250 numaralı kararı, bugünkü Resmi Gazete’de yayımlanarak yürürlüğe girdi. Karar ile Finike Sahilkent Mahallesi’nde kentsel dönüşüm uygulanacak alanlar belli oldu. İşte Antalya Finike, Sahilkent’te kentsel dönüşüm uygulanacak alanlar…
Antalya İli, Finike İlçesinde Bulunan Bazı Alanların Kentsel Dönüşüm ve Gelişim Proje Alanı İlan Edilmesi Hakkında Karar
Cumhurbaşkanı Recep Tayyip Erdoğan, Başbakan Binali Yıldırım ve Bakanlar Kurulu Üyeleri’nin imzasıyla yayınlanan karar şöyle;
Karar Sayısı: 2016/9250
Antalya İli, Finike İlçesi’nde bulunan bazı alanların kentsel dönüşüm ve gelişim proje alanı ilan edilmesi hakkındaki ekli Kararın yürürlüğe konulması; Çevre ve Şehircilik Bakanlığı’nın 4/8/2016 tarihli ve 9608 sayılı yazısı üzerine, 5393 sayılı Belediye Kanunu’nun 73’üncü maddesine göre, Bakanlar Kurulu’nca 19/9/2016 tarihinde kararlaştırılmıştır.
Kararnamenin Eki
Karar
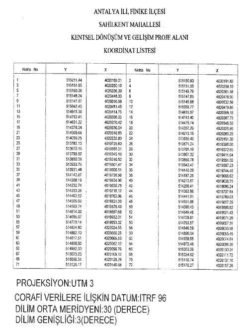
MADDE 1: (1) Antalya İli, Finike İlçesi, Sahilkent Mahallesi sınırları içerisinde bulunan ve ekli kroki ile listede sınır ve koordinatları gösterilen alan, kentsel dönüşüm ve gelişim proje alanı ilan edilmiştir.
(2) Birinci fıkra kapsamında ilan edilen kentsel dönüşüm ve gelişim proje alanı sınırları içerisinde yer alan ve harca esas değer üzerinden belediyelere devredilen Hazine’ye ait taşınmazlar, kentsel dönşüm ve gelişim amacına yönelik imar planı ve uygulaması yapılmadan satılamaz.
MADDE 2: (1) Bu Karar yayımı tarihinde yürürlüğe girer.
MADDE 3: (1) Bu Karar hükümlerini Çevre ve Şehircilik Bakanı yürütür.


imarpanosu.com



