970x250 video
PlayPlay

Akdamar Adası, ‘Kesin Korunacak Alan’ ilan edildi

Van'daki inanç turizminin önemli noktalarından Akdamar Kilisesi'nin de bulunduğu Akdamar Adası, Cumhurbaşkanı kararı ile 'Kesin Korunacak Alan Hassas Alan' ilan edildi. İşte Cumhurbaşkanı Erdoğan imzasıyla bugünkü Resmi Gazete'de yayımlanan o karar ve detaylar...

Van’ın Gevaş İlçesi sınırları içinde yer alan, tarihi Akdamar Kilisesi ile ünlü Akdamar Adası, Cumhurbaşkanı kararı ile ‘Kesin Korunacak Hassas Alan’ ilan edildi. Cumhurbaşkanı Recep Tayyip Erdoğan imzalı ve 1279 sayılı Van İli, Gevaş İlçesinde Bulunan Akdamar Adası Doğal Sit Alanının Koruma Statüsünün Yeniden Değerlendirilmesi Sonucunda, Bazı Alanın Kesin Korunacak Hassas Alan Olarak Tescil ve İlan Edilmesi Hakkında Karar, bugün (5 Temmuz 2019, Cuma) tarih ve 30822 sayılı Resmi Gazete’de yayımlandı.

Akdamar Adası hakkında önemli karar

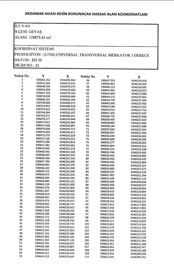
Van’ın Gevaş İlçesi’nde bulunan ve 128 bin 879.65 metrekare yüzölçümüne sahip Akdamar Adası hakkındaki karar ile sınır ve koordinatlar şöyle;

Karar Sayısı: 1279

Van İli, Gevaş İlçesinde bulunan Akdamar Adası Doğal Sit Alanının koruma statüsünün yeniden değerlendirilmesi sonucunda, ekli kroki ile listede sınır ve koordinatları gösterilen alanın Kesin Korunacak Hassas Alan olarak tescil ve ilan edilmesine, 1 sayılı Cumhurbaşkanlığı Kararnamesinin 109’uncu maddesi gereğince karar verilmiştir.

Recep Tayyip Erdoğan
Cumhurbaşkanı

Akdamar Adası nerede?

Akdamar Adası’nın harita üzerindeki konumu şöyle…


imarpanosu.com