Üsküdar Çengelköy, Ferah ve Küplüce Mahalleleri kentsel dönüşüme girdi!
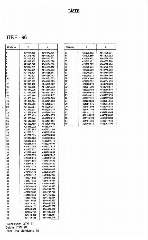
Üsküdar Çengelköy, Ferah ve Küplüce Mahalleleri, bugünkü Resmi Gazete’de Cumhurbaşkanı Recep Tayyip Erdoğan ve Başbakan Binali Yıldırım’ın imzasıyla yayımlanan karar ile riskli alan ilan edildi. İşte o karar ve riskli alan ilan edilen bölgenin krokisi, koordinatları…
İstanbul’un Anadolu yakasındaki ilçesi Üsküdar’ın Çengelköy, Ferah ve Küplüce Mahallelerini kentsel dönüşüme sokan karar, bugünkü Resmi Gazete’de yayımlandı.
Cumhurbaşkanı Recep Tayyip Erdoğan, Başbakan Binali Yıldırım ve Bakanlar Kurulu Üyeleri’nin imzalarıyla yayımlanan 2018/11186 sayılı “İstanbul İli, Üsküdar İlçesi, Çengelköy, Çengel Ferah ve Çengel Küplüce Mahalleleri Sınırları İçerisinde Bulunan Bazı Alanların Riskli Alan İlan Edilmesi Hakkında Karar” ile bölgede kentsel dönüşüm uygulanacak alan belirlendi. İşte o karar ve riskli alan ilan edilen alanın krokisi ve koordinatları…
Çengelköy’e dönüşüm kararı
Karar Sayısı: 2018/11186
İstanbul İli, Üsküdar İlçesi, Çengelköy, Çengel Ferah ve Çengel Küplüce mahalleleri sınırları içerisinde bulunan ve ekli kroki ile listede sınır ve koordinatları gösterilen alanın riskli alan ilan edilmesi; Çevre ve Şehircilik Bakanlığı’nın 23/11/2017 tarihli ve 15179 sayılı yazısı üzerine, 6306 sayılı Afet Riski Altındaki Alanların Dönüştürülmesi Hakkında Kanun’un ek 1’inci maddesine göre, Bakanlar Kurulu’nca 8/1/2018 tarihinde kararlaştırılmıştır.


imarpanosu.com



